Апельсиновые кексы, которые приготовит даже ребенок!!!
1 апельсин (примерно 50 мл сока и цедра)
150 г сахара
2 ч.л. ванильного сахара
150 г сливочного м...
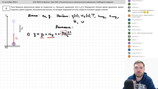
Друзья! Мы продолжаем наш курс подготовки к ОГЭ-2024 по физике. 15 сентября (ПТ) в 18.45 (мск) продолжаем изучение раздела "Механические явления". На ур...
Мой вк: https://vk.com/onelovemot
Катаем вместе. Тут ? https://vk.com/light_enduro_do_brevna
А также запрещенная соц сеть. В которой может что-то и буде...
Семена всех овощей и цветов по доступным ценам https://vk.cc/7oSBAz Промокод для подписчиков В гостях у Елены. Он дает 10% скидки и суммируется со скидк...
The video How To Roast Beets In The Oven about my technique use to bake beets. I like to pack my beets individually because different size of beets take...
Ремонт по поручению - комиссия регионального минобразования во главе с руководителем Владимиром Пылевым проверила, как в Жигулевске провели работу над о...
Hi and as salam o alaikum welcome to my youtube channel Dhaba Cooking Secrets, my name is Ahmad Ali and i live in the city of shrines Multan punjab Paki...