Ссылка на товар https://uyuttextil.ru/magazin/trikotazh/khalaty/zhenskie-khalaty/xalat-2737-nt
Купить халат Иваново тут https://uyuttextil.ru/magazin/tr...
#новогоднийподарок #сладкийподарок #нг2021
Всем приветик!
В этом видео у нас будет распаковка сладкого новогоднего подарка из магазина СВЕТОФОР, сде...
Использованы произведения:
Моцарт, соната До мажор,
Чайковский - Баркаролла - минор и уменьшенная краска,
Кабалевский - Клоуны включает мажор и минор....
В данном видео ролике представлен подробный обзор (гайд) новой премиумной ПТ-САУ 6 уровня США Т78
Приятного просмотра!
#sobermantv #лучшийреплей #вот...
Ажурный палантин , обучающее видео по вязанию , мастер класс по вязанию очень красивого и ажурного палантина крючком , слонимская пряжа и крючки , https...
Лекция 14 | Курс: Анализ Фурье | Лектор: Сергей Кисляков | Организатор: Математическая лаборатория имени П.Л. Чебышева СПбГУ
Смотрите это видео на Лект...
30минутта пісетін кекстер?
Егер уақытыңыз болмай, бірақ шайға тәтті бірдеңе керек болып жатырса, бұл кекстер сіздердер үшін арналған✅? пісу уақытын қос...
Сегодня снова играем в Last day on Earth: Survival.
Подпишись! Поставь лайк! Напиши комментарий!
Анонсы стримов тут, подписывайся: https://t.me/uncle_f...
ИМЕННЫЕ ВИДЕО-ПОЗДРАВЛЕНИЯ ОТ ДЕДА МОРОЗА ПОД ЗАКАЗ 89371126307
https://www.youtube.com/watch?v=ksuoNbS9HEA&ab_channel=ДМИТРИЙБОГДАНОВ
ОЧЕНЬ ИНТЕРЕСН...
Т 55 разряд - 18100 урона в режиме Охота на Waffenträger auf E 220 (в новом режиме Охота на Waffenträger auf E 220 взяли танк т 55 разряд и накидали бол...
Новая фишка от WG в WoT! премиум танк - имба 8лвл БЕСПЛАТНО! Отличный подарок от ВГ в World of Tanks. Жаль не у нас :(
? ЛУЧШИЕ ИМБЫ ДЛЯ ФАРМА (не премы...
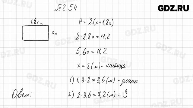
Видео решение к параграфу 2, к номерам 1-100 по математике за 6 класс, авторов Н.Я. Виленкин, В.И. Жохов, А.С. Чесноков, Л.А. Александрова, С.И.Шварцбур...
funky town low detail 10 hours
hello guys my name is 10 hours i hope that you had a very great day did you enjoy the video? if you do please leave a li...