В Алабаме (субтропики) уже сажают семена и саженцы.
Показываю одуванчики февраля, как сажаем свой сад. Видали пчел в феврале?
Цена на семена и саженцы в...
Nickolay Ivanovich Pirogov (1810-1881), the prominent Russian scientist, surgeon, educator and public figure spent the last years of his life in a charm...
В основании треугольной пирамиды ABCD лежит треугольник АВС, где АВ=ВС=5, АС=6. Боковые ребра наклонены к плоскости основания под углом, синус которого ...
Владимир Молодожен – Руководитель учебно-методической комиссии Федерации альпинизма России. Интервью, проведённое 25 ноября 2020 г., можно посмотреть -...
Язь опять в эфире, он ведет теле передачу в Челябинске, готовит там супер огромный пельмень с богатырями, рыбачит, в итоге поймал щуку и сделал с её пир...
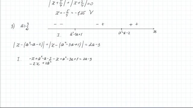
Найдите все значения параметра a, при каждом из которых уравнение |x-a^2+a+2|+|x-a^2+3a-1|=2a-3
имеет корни, но ни один из них не принадлежит интервалу ...
Всем привет. Вот и мой новый ролик в котором я бы хотел вам рассказать:
"О чем на самом деле была Ведьмина служба доставки".
Не секрет, что Миядзаки вкл...