Репетитор по математике и по физике Даниил Вишневский Викторович
Вотсап +79777076617
Телеграм @daniil_krupcov
Ссылка на ПРОФИ РУ https://profi.ru/profi...
★Это праздник вкуса● В качестве сытного перекуса хочу предложить вам испечь аппетитные и очень вкусные дрожжевые булочки с колбасой и сыром● Простая аль...
Штольни находятся на территории государственного заказника Горное Заделье республики Марий Эл. Приглашаем на прогулки по Горняку с кемпинга "Новая Слобо...
Всем привет, в этом ролике рассказываю, как зарабатывать больше в доставке ситимобил. Какие заказы стоит брать и почему.
Instagram: https://www.instagr...
Недвижимость Ставрополь| Купить квартиру в Ставрополе| Ставрополь, Город Роз| Квартиры в Ставрополе
-
Продается 3-х комнатная квартира без ремонта в Юго...
http://ksk66.ru/ Работы по ремонту ул. Мизерова идут полным ходом. Там трудится ООО «Седьмая строительная компания», которая должна более чем за 7 млн. ...
Пробный влог на мою новую камеру Sony HDR-AS300. Обычный день, готовлю вкусный тыквенный суп-пюре, прогулка, зашла в Фикс прайс и Пятерочку, небольшие п...
Печеньки для доктора https://www.donationalerts.com/r/realistdyagilev
Реалист доктор зло https://www.youtube.com/channel/UCFhoJtRcxr1DmB69qXVTFLg
ЖИЗНЬ ...
Немецкий бренд Holle представляет детские молочные смеси для малышей с полугодовалого возраста, детское печенье, детские травяные чаи и многое другое, ч...
17 апреля в Юже открылась мини-пекарня "Булошная". Удивительный ассортимент хлебобулочных изделий собственного приготовления порадует даже самого привер...
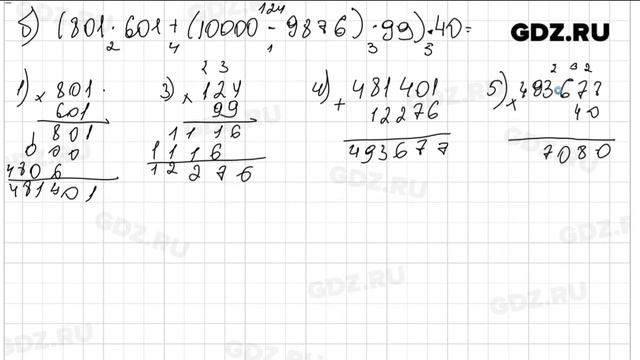
Видео решение к номеру 203 по математике за 5 класс, авторов Зубарева И.И., Мордокович А.Г.
Более подробное гдз к этому заданию можно найти здесь http...