Привет, рад видеть тебя на стриме, но перед тем как начать смотреть, прочитай правила:
САЙТ С ПРОДУКЦИЕЙ МОЕГО СПОНСОРА:
http://1kortiki.su/
ПРАВИЛА ...
#экономноеменю #суппюре #омлет #безмяса #едабыстро #картошкажареная
Экономное меню на день без мяса
Завтрак:
Омлет, бутерброды с слабосоленой горбушей,...
Крем супа с тиква. Това е една от любимите ни рецепти, лесна и вкусна. Тиквата е изключително лека и полезна храна. Лесна е и за съхранение.
Как се пр...
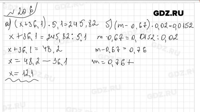
Видео решение к номеру 206 по математике за 6 класс, авторов Н.Я. Виленкин, В.И. Жохов, А.С. Чесноков, С.И. Шварцбурд.
Более подробное гдз к этому задан...
Это прохождение Kingdom Come: Deliverance на русском на PS4 Pro. Часть 42.
В этой серии я выясняю, что за череп дьявола, который я вынул из воды, а за...