Канал: Кулинарное искусство на все времена 06.12.2023
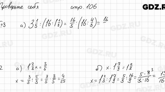
Видео решение к разделу "Проверьте себя" к странице 106, к номеру 1 по математике за 6 класс, авторов Н.Я. Виленкин, В.И. Жохов, А.С. Чесноков, Л.А. Але...
Канал: Кулинарное искусство на все времена 06.12.2023
Для меня шопинг как лекарство!!! От плохого настроения, от плохой погоды и многого другого! Все вещи которые мы купили с дочкой в тц Комсомол это наш лю...
Канал: Кулинарное искусство на все времена 06.12.2023
Showreel for Rachel Ball.
Caro Emerald tribute Act.
www.tributetocaroemerald.co.uk.
All music rights belong to Grandmono.
Video produced by Daniel Yate...
Канал: Кулинарное искусство на все времена 06.12.2023
Дошкольный возраст – этап активного речевого развития. В какие игры на развитие речи мы можем играть с детьми? – рассказывает психолог Онлайн-Школы №1 Г...
Канал: Кулинарное искусство на все времена 06.12.2023
Приглашение в #спроскошныйджемперотанны https://youtu.be/s3tyQFqt-GQ
Добро пожаловать на канал! Приятного просмотра!
Канал Анны https://www.youtube.com/...
Канал: Кулинарное искусство на все времена 06.12.2023
Hey everyone! Today we're taking it back to series 1 of Zuru's 5 Surprise Mini Brands!!! We hope you like this video and support us by hitting the subsc...