(★) Музыка принадлежит композитору Сергей Грищук (Music by Sergey Grischuk)
▶ Youtube канал @Сергей Грищук ,Музыка Для Души:
https://www.youtube.com/ch...
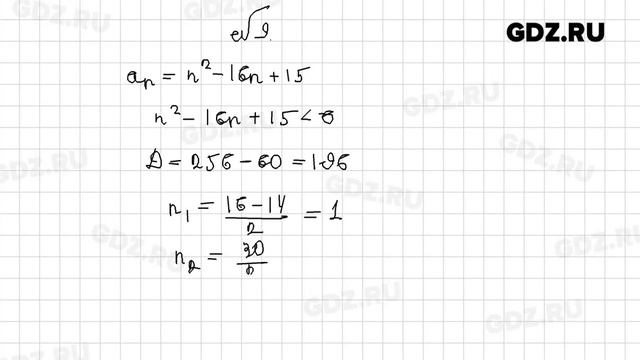
Видео решение к параграфу 20, к номерам 1-15 по алгебре за 9 класс, авторов Миндюк Н.Г., Шлыкова И.С.
???Таймлайн в описании ???
Более подробное гдз к ...
Спортивное Питание Для Похудения и Рельефа мышц. Подборка которая поможет похудеть новичкам, девушкам и всем кто хочет иметь красивое тело. Также не заб...
Hörmətli izləyicilərimiz sizlər üçün davamlı olaraq yeni xeberləri dərhal sizə çatdıracayıq xaişimiz kanalımıza dəsdək üçün abunə olaraq videolaımızı bə...
Анекдоты от А до Я
Вы можете поддержать наш канал, сделав перевод на карту ПриватБанка
4731 1856 1820 9768 .
Поделитесь этим анекдотом с друзьями -
П...
Die schönsten Glückwünsche zur Hochzeit:
Zusammen durch die Welt zu gehen, ist schöner als alleine zu stehen.
Und sich darauf das Wort zu geben, ist wo...
#vlog #секондхенд #секонд2020
Мы снова с вами отправляемся по магазинам Секонд хенд.. Humana ..примерки. Альпака..кашемир..шёлк...образы.отличные наход...
Переходи на
Наш телеграмм канал: https://t.me/VselPoz
Для познания вселенной и понимания, того, что происходит вокруг.
Познав истину этого мира, можно ...
Ловля щуки в октябре самая интересная рыбалка, вроде щуки много , но надо подобрать снасть и приманку, тогда и будет успех.
#ловлящуки #рыбалкавоктябре...