Сайт THWGlobal оценивайте сами.
Я впервые в таком месте!!!
Займите место, ответьте на вопросы анкеты! ЗАРАБОТОК БЕЗ ВЛОЖЕНИЙ,
НЕ ДУМАЙТЕ долго-ДЕЙСТВУ...
3 дня БЕЗ КОМИССИИ парка по промокоду « tatarin»❗️
Telegram таксопарка?
https://t.me/BogatiyKurierParkYoutube
WhatsApp таксопарка?
https://wa.me/795849...
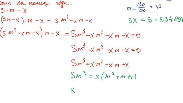
ЕГЭ профильный уровень. Экономическая задача на равные платежи (аннуитетные).
В июле 2026 года планируется взять кредит в банке на некоторую сумму. Усл...
Смотрите ответы на вопросы:
0.05 - В каком возрасте лучше начинать обучение в школе
5.15 - В 4 или 5 класс лучше идти после курса 3-4 класса
6.35 - Стои...
twitch.tv/angel_jams - мой твич
Для тех кто хочет поддержать меня, достаточно будет подписаться на меня в моих соц. сетях и на мой YouTube канал, для ос...
Jitsi — программа для организации видеоконференций. Бесплатная, безопасная и удивительно простая в использовании. Бесплатный аналог Zoom для ваших конфе...
EA FC 24 КАКИЕ КАРТЫ ВЫБРАТЬ ДЛЯ ЭВОЛЮЦИИ / EVOLUTION EA FC 24
МОНЕТЫ ДЛЯ ФИФА 23 https://vk.com/id290330002
Я В ИНСТЕ https://www.instagram.com/ya__tr...
Всем привет я хочу вас познакомить с сайтом рукапча для того чтобы перейти на сайт переходим по ссылке https://rucaptcha.com/?from=1318017 помогите с р...
?Приятного просмотра!)
? Хочешь играть со мной? - Переходи по ссылке ниже!
https://play.majestic-rp.ru/fanti
?Я играю на 4-м сервере Majestic Role Pl...
Благодаря этому видео, вы примерно сможете понимать, сколько можно заработать за определенное время в шахте
так же будут и другие части, это ферма и зав...
Обучение созданию видео, продвижению и заработку на на Ютуб с минимальным бюджетом, Youtube коучинг
экономный: http://glprt.ru/affiliate/9536188
оптима...
❗️ПОДПИСЫВАЙТЕСЬ НА КАНАЛ - ЕЖЕДНЕВНОЕ ОБНОВЛЕНИЕ ВАКАНСИЙ ?
❗️АКТУАЛЬНЫЕ НОВОСТИ ?
Stable Work Europe - Стабильная Работа Европа
Сайт - https://work-il...
Время новостей от 07.06.2016 смотрите весь выпуск по ссылке https://www.1obl.ru/video/v-chelabinskoj-oblasti-ne-khvatajet-blankov-osago-134525072016/?ut...