Покажу, как найти программу для поступающих, чтобы качественно подготовиться к экзамену.
00:00 — Приветствие
02:14 — ЦТ
03:35 — ЕГЭ
04:54 — ЕНТ
06:50 — ЗНО
Подборка "100 книг" от Читай-Города https://www.chitai-gorod.ru/collections/888358/
Поддержать моё творчество и получить доступ к дополнительным матери...
BestChange - https://t.me/interdollars/166
Наш телеграмм канал - https://t.me/interdollars
Я Вконтакте - https://vk.com/vasiliy_dubovik
#Обменвалют #О...
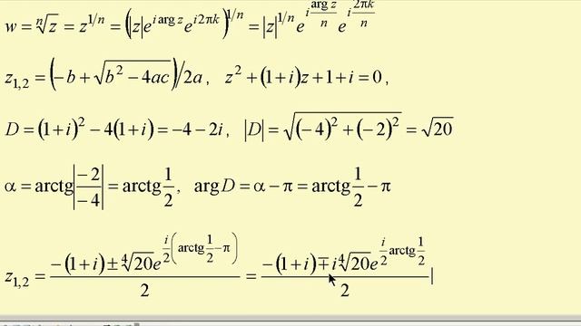
На этом занятии учимся вычислять степенную функцию комплексного аргумента. В зависимости от того, целая ли степень, рациональная, действительнаяили комп...
Подписаться на канал https://www.youtube.com/channel/UC23EB35pXcKomac0oZsT4PQ?sub_confirmation=1
Ссылка на плейлист Кот Сёма https://www.youtube.com/wat...
Петя ходит в бассейн с 2,5 месяцев. Это отличная закалка и укрепление иммунитета. На видео нарезки за 8 месяцев и результат занятий с тренером.
Петя ро...
Если вы чувствуете пробелы в знаниях.
Если вы в поиске новых инструментов для работы.
Если вы хотите дать быстрый и устойчивый результат клиентам и реши...
Больше всего полезного микроэлемента - калия в моркови,сельдерее,петрушке и шпинате.Калий усваивается лучше всего,если употреблять сырые неразбавленные ...
"Как написать хорошее эссе — это вопрос на который я постараюсь ответить примерно за 2 минуты. Будет еще кое-что связанное с этим вопросом, объяснение к...
Learn how to create an abstract and unique motion blur effect in Photoshop while keeping a portion of the image in focus. This technique is referred to ...
Выкинуть его стоит если у вас при открытии крышки горловины бак шипит, при всём этом машина может троить и не тянуть на высоких оборотах, на холостых вс...