Комплекс на могилу Хованское кладбище
Адрес: 142770 пос. Сосенское, 1 С4
vek-monument@yandex.ru
+7(965) 188-00-99
https://hovanskoe-kladbishe.com/komple...
My third complication of special shortcuts/jumps and bounces on custom maps.
Music : Blue Stahli - Leadfoot Getaway , Blue Stahli - Shotgun Senorita , ...
Видео я снимала в магазине Waitrose https://www.waitrose.com/
Магазины, о которых говорю в видео:
Tesco: https://www.tesco.com/
Sainsbury: https://www....
Примечание: Wondershare Video Converter Ultimate переименован в Wondershare Uniconverter
convert mov to mp4: https://videoconverter.wondershare.com/conv...
ПОДПИШИСЬ НА КАНАЛ И ВЫИГРАЙ 2500 ГОЛДЫ https://youtu.be/fKHwwiVMrFU СЮДА https://youtu.be/fKHwwiVMrFU
САЙТ С Е25 https://code4game.ru/shop/item/22339...
Вечерняя служба в Дивеево, в которой соединяются: вечерня, утреня и первый час. Такое Богослужение называется всенощным бдением (всенощною), потому что ...
Панты - это молодые, неокостеневшие рога оленя, покрытые нежной кожей и напитанные кровью. Рога являются вторичным половым признаком и начинают отрастат...
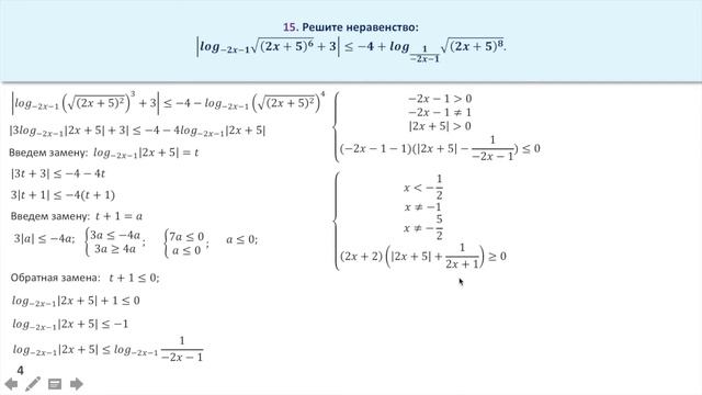
Решение задания 15 из Тренировочного варианта №8.
Тренировочный вариант №8 для подготовки к ЕГЭ опубликован здесь: https://ege-ok.ru/2017/11/15/trenir...
Лучшей благодарностью за мои труды, поддержку и за развитие проекта, будут: Ваш лайк, подписка, просмотры роликов на моём канале, просмотр рекламы, не ...