Кто первой выйдет замуж? Рождественские святочные гадания в домашних условиях доступны абсолютно каждой. И вы можете быстро и совершенно бесплатно узнат...
Программа и содержание видеокурса:
1. Видеоурок «Введение в мир окрашивания. Теория и практика окрашивания»
2. Видеоурок «Окрашивание натуральными крас...
Всем привет, это вторая часть курса видео-уроков по рисованию мышкой в Paint. Надеюсь мои обучающие ролики помогут вам в обучении рисованию. Приятного п...
Его используют главные трендсеттеры от Джессики Уолш до Metahaven, от Dazed до Nike. Это хромированный леттеринг или буквы с эффектом жидкого металла. Н...
ПОДПИШИТЕСЬ на канал?и НАЖМИТЕ на колокольчик ?
#история #реальныеистории #реальныеисториииpжизни #страшныеисторииизреальнойжизни #страшный история #ис...
Inna Sudakova сейчас в Яндекс Дзен✨
https://zen.yandex.ru/inna_sudakova
Сказать СПАСИБО♥️можно несколькими способами:
1)Поставить лайк?и написать коммен...
How to flash stock in HTC Desire 825? How to upgrade HTC Desire 825? How to update HTC Desire 825? How to install newset firmware in HTC? How to downloa...
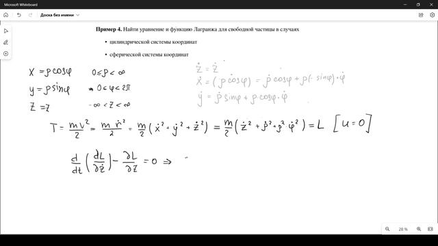
Нахождение уравнения и функции Лагранжа для цилиндрической и сферической систем координат
Решение задач по физике и математике | https://vk.com/resh_st...
Фрагмент занятия по предмету Рисунок.
При Приходе Успения Пресвятой Богородицы в Матвеевском в рамках работы Духовно-просветительского центра «Дионисий»...