Для того, чтобы земляника перезимовала без потерь, ее обязательно нужно укрывать перед холодами. Даже если зима будет теплой, но малоснежной, земляника ...
Помощь Пуле, убийство Борова и захват документов - это то, что должен сделать каждый уважающий себя Меченый, поэтому в этой серии мы снова пройдемся по ...
Научись создавать нейросети: https://go.skillfactory.ru/nyo2CQ
Скидка на обучение -45% по промокоду ZIZ
Мой закрытый TG канал https://bit.ly/3Wa87e6
В...
Посмотрите видео и узнайте реальную цену черных австралийских опалов. Австралийские черные опалы являются самыми дорогими. В представлении большинства л...
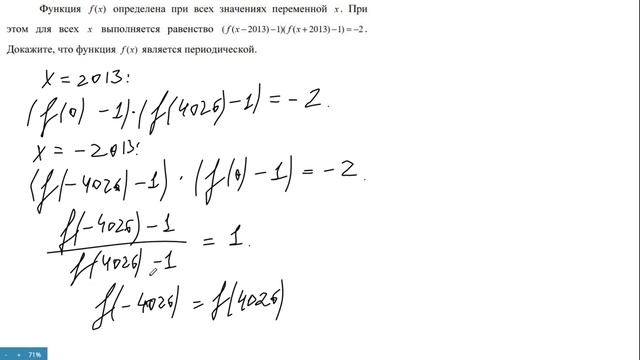
Практикуемся в анализе функциональных уравнений.
Спасибо за вклад в развитие сообщества: https://yasobe.ru/na/dvivideos
Задачи на разбор присылайте в ВК...
Александр Хакимов.
Вопрос: Каков высший моральный принцип?
Ответ: В нас, в каждом живёт хищник с точки зрения биологии. А с точки зрения духа, каждый ...
Hi ?
PLS READ!
Here i Show you how to use a USB Bios Chip Programmer and a lot more...
Some people's get a bit confused on min. 19:37 because i had p...
Определите площадь поверхности медного куба, если пружина динамометра, на которую он подвешен, с коэффициентом жесткости 16 Н/м растянулась на 35,6 см. ...
ПОДПИСЫВАЙТЕСЬ НА НАШ КАНАЛ - ОКАЖИТЕ НАМ ЧЕСТЬ! СПАСИБО!
Мы не описываем товары, а лишь показываем их.Будет намного лучше и честнее, если Вы сами перей...
DD&SS , в сборке более 300 модов , и 1750 квестов , все моды в этой сборке взаимосвязаны и усложнены даже самые простые крафты
● Название сборки: Dun...