Новый год начался, а с ним и период новых ощущений и обновлений. Недавно я, прогуливаясь по набережным Петербурга, записала видео про самые популярные к...
В этом видео вы прошвырнётесь с нами на зимнюю дачу и узнаете зачем поехали, чем занимались и что там происходит.
Все товары для дачи и садовый инвент...
Вокальный чоп или вокальные нарезки - это, казалось бы, старая тема для видео, но я проанализировал ютуб и ничего годного не нашел, поэтому решил сделат...
Доброго дня, дорогие друзья!
Сегодня я решил поведать вам о том как же завести лошадь в мойку если она боится и никак не хочет этого делать.
Хочу отме...
Twitter - https://twitter.com/ChahkievAlik
Описание:
Ru:
В этом видео я расскажу вам о небольшой пасхалке в игре Покемон Го. Это пасхальное яйцо о том,...
ЯРМАРКА - ЭТО МЕСТО, ГДЕ МОЖНО УВИДЕТЬ ПРЕДЛОЖЕНИЯ МАСТЕРОВ НАРОДНОГО ТВОРЧЕСТВА И СДЕЛАТЬ ИМ ЗАКАЗ БЕЗ ПОСРЕДНИКОВ. (YARMARKA /ЯРМОРКА /ИЗДЕЛИЯ НАРОДНО...
Видео-инструкция по удалению принта с футболки с помощью термоочистителя. Автор демонстрирует процесс очистки и объясняет, как правильно использовать те...
Как парсить картинки из JSON кода.
Ссылка на страницу программы Content Downloader http://cd.sbfactory.ru/content-downloader/
Ссылка на соответствующ...
#вернутьбывшего #каквернутьбывшего #DUDNIK #павелдудник #психологияотношений #возвратбывшего
Таймкоды:
00:00 - Начало
01:12 - Почему любого бывшего мож...
В программе:
на какие работы нельзя принять несовершеннолетнего;
с какого возраста можно принимать на работу;
совмещение обучения с работой;
документы ...
Скачать Bandicam: https://goo.gl/gDvSQR
Вся настройка бандикам, кряк там есть, всё хорошо с файлом и с ним, если что пишите в вк в личку, отвечу и сниму...
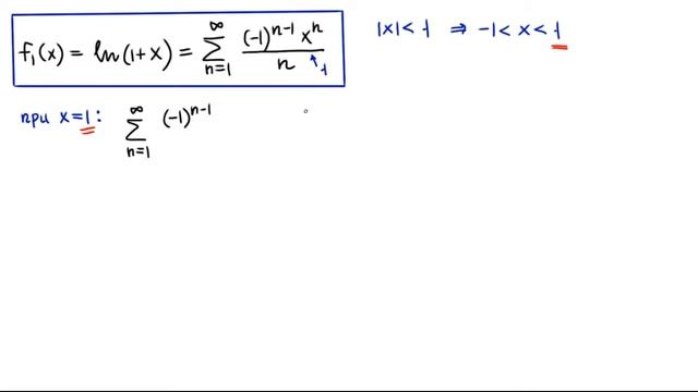
В этом видео вы узнаете, как можно получить разложения с ряд Тейлора-Маклорена для функций ln(1+x) и arctg(x) при помощи суммы геометрической прогрессии...