Ссылка на канал: https://www.youtube.com/channel/UC2GXsKmBaIcMcaJaHcstveA
Погода на неделю - https://www.youtube.com/playlist?list=PL5m9C8vJdR5M8lAb1_...
Thomas Jefferson has been closely associated with religious freedom for more than two centuries. Yet his personal views on matters of faith were complex...
TVE - TravelVideoEmotion - канал о путешествиях в мир эмоций, полученных от путешествий, поэзии, искусства, музыки, истории.
✅ Поддержать канал TVE:
К...
Тут еще один ролик про очередную попытку развода https://youtu.be/nTTKEbgMz3A
Поделитесь этим видео, чтобы предостеречь максимальное количество людей. Э...
Помощь проекту: https://goo.gl/nnY9VW
Существует конспирологическая версия, что люди никогда не высаживались на Луну. Теория заговора? Правда ли, что в...
Бывает что эскизы картинок, видео и пр. не отображаются - это очень неудобная ситуация, при этом видно только значки, а что там непонятно. Такая ситуац...
Сейчас мы узнаем интересные факты о дятлах. Перед началом, надеюсь на вашу поддержку в виде лайка и подписки на канал. Всем приятного просмотра!
► Cпон...
Предлагаем вам серию забавных , веселых и красивых пожеланий спокойной ночи от Наша Няша. Наша Няша расскажет обо всем на свете:
шутки, смешные мысли, ...
SSRI xalq artisti-Zeynəb Xanlarova.
SSCB Halk Sanatçısı-Zeyneb Xanlarova.
Народная артистка СССР- Зейнаб Ханларова.
People's Artist of the USSR- Zeynab...
Психическая норма. Что значит быть нормальным, адекватным? Существует ли вообще объективная норма психически здорового человека. Какие возможны критерии...
Посмотрите мастер-класс и вы научитесь делать шарик на ёлку из бисера и бусин.
Набор материалов: https://melodiabisera.ru/sharik-na-elku-nabor-dlya-ruko...
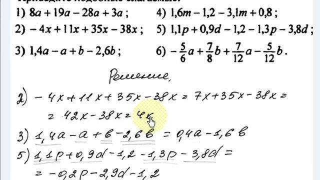
Урок 22. Подобные слагаемые. Коэффициент. Математика 6 класс. Приведение подобных слагаемых. Действия с коэффициентами. Примеры с объяснением. Видеоур...
Автор книги- Полина Сухова
Голос- Nikosho
Вселенная хочет чтобы вы были счастливы.
Посвящается
Посвящается всем людям на планете Земля, кто осознанно ...
К 254 Уп № 6 (2023). Микс м/ж одежды BRODWAY, сток. Германия.
50 единиц. С/с 1 278 рублей за единицу.
Вес упаковки 17,3 кг.
Цена за кг 3 694 рубля на...
1) КАК СНЯТЬ КОРОБКУ СВОИМИ РУКАМИ НА ВАЗ 2110 - серия 1
https://youtu.be/8KFfriR3shs
2) АВТОХЛАМ. КАК РАЗОБРАТЬ КОРОБКУ ВАЗ 2110? - серия 2
https://you...