Для наблюдателя, находящегося в точке с долготой λ = 54°15′ на территории России, Луна 27 июля 2018 года взошла в 23h19m, а зашла в 23h25m по московском...
Астероид движется вокруг Солнца по круговой орбите, лежащей в плоскости орбиты Земли. Максимальное расстояние между Землей и астероидом в 3.5 раза больш...
Двоичный поиск кажется на первый взгляд тривиальным. Но попытка написать его сходу часто оканчивается провалом - программа зацикливается. Разберем пару ...
Тело брошено с высоты 12 м под углом 30° с начальной скоростью 12 м/с. Определить продолжительность полета, максимальную высоту, которой достигнет тело,...
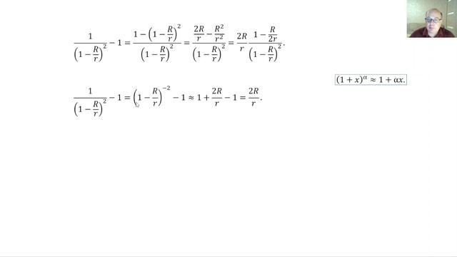
Задача о нахождении расстояния до точки либрации, предложенная на муниципальном этапе Всероссийской олимпиады школьников по астрономии 2023 г. в Удмуртии.
Концерт финалистов VII марафона искусств "На родине Чайковского".
Исаак Дунаевский. Увертюра к фильму "Дети капитана Гранта".
Данил Краснопёров и Артем...
Каждый атом в нас самих и в окружающем нас мире прошёл долгий путь, измеряемый многими миллиардами лет. Этот путь мог начаться в звёздных недрах, или в ...