Одним из самых частых проблем, возникающих при старте ремонта, является вопрос о том, как рассчитать количество рулонов обоев для помещения. Особенно вы...
Правильно поступает тот, кто не просто выучивает формулу корней квадратного уравнения, но и понимает, как эту формулу можно вывести через выделение полн...
В этом видео показан пример простого и быстрого счета возведения в квадрат чисел между 40 и 49. Способ простой и поэтому запомнить его не составит больш...
✅ Подписывайтесь на канал http://bit.do/Marina_Chess
Поддержите развитие канала https://www.donationalerts.com/r/marina_chess
Приглашаю всех в свой шах...
Буду благодарна за подписку и лайки. Впереди ещё много интересного. Ваши отклики для меня очень важны)
**********
Мой Инстаграмм
https://www.instagram....
Только совсем недавно обнаружил, что отключил комментарии. Пишите свои вопросы, присылайте задачи будут рад снимать новые видео для вас. Прошу подписать...
Репетитор по математике Татьяна Сергеевна показывает, как преобразовать в многочлен, используя формулы квадрата суммы и квадрата разности.
Записывайтесь...
В сегодняшнем уроке от Пчела Школа | дистанционное обучение по Математике мы разбираем:
- Формулы сокращённого умножения (квадрат суммы и квадрат разно...
В этом ролике мы подробно рассмотрим понятие точки безубыточности и объясним почему правильный расчет этого параметра крайне важен для оценки эффективн...
Данный метод проще калькулятора плитки. В Рязани все местные, не леруа с оби, магазины предлагают услугу бесплатного дизайн-проекта. Это магазины апельс...
Выделение полного квадрата под корнем. Аналогичная задачка может попасться как на ОГЭ (во второй письменной части), так и на ЕГЭ (но уже в первой тестов...
Свойство квадратов, оканчивающихся на 5. всем привет из Тюменской школы 25, от Солтановой Елены Викторовны)
#устныйсчёт #считаемвуме #квадраты #математика
Линолеум для укладки в Петровиче - https://goo.gl/JDGf5q
Как рассчитать линолеум!
#РасчетЛинолеума не так просто, как кажется. Есть несколько тонкостей ...
В видео показан один из методов крепежа квадратной заготовки. Покажу как протачивать квадрат длинной более двух метров без вибраций.
Моя страница в конт...
✅ Видеоурок по теме: Площадь квадрата. Как найти площадь квадрата?
Запись на индивидуальные и групповые занятия по предметам с 1 по 4 класс: https://for...
Подписывайтесь на мой телеграмм канал https://t.me/matematikys , в котором вы найдете еще больше полезной информации, а также там я провожу каждую недел...
2 часть https://youtu.be/otJdy4bvijc
Данные ролики посвящены ценообразованию для салона и для мастера работающего самостоятельно.
Для начала нужно опр...
Пиши в комментарии, что из школьной программы вызывает у тебя затруднения. Человек с высшим образованием готов ответить на любые твои вопросы.
Репетитор...
Изящный вывод формул для сумм вида 1^k + 2^k + 3^k + ... +n^k
Заходите на мой сайт - у меня куча полезных видео курсов https://skystudents.kz
Хотите по...
Чтобы не пропускать подобные ролики:
http://www.youtube.com/c/SimpleMathTube?sub_confirmation=1
https://t.me/SimpleMathChannel
Телеграмм-канал который ...
Многие знают как посчитать все квадраты в размерах 3 на 3, или 4 на 4. А сели нужно 100 на 50? как долго Вы будите это делать? день? два? три? год?.
Я в...
Как решать квадратные уравнения выделением полного квадрата.
Онлайн-школа https://bitnerschool.com
Обучение и аттестация с 1 по 11 класс
5 дней беспла...
Чтобы не пропускать подобные ролики:
http://www.youtube.com/c/SimpleMathTube?sub_confirmation=1
https://t.me/SimpleMathChannel
Телеграмм-канал который ...
Материалы для монтажа гипсокартона - https://goo.gl/v22oWt
Как рассчитать гипсокартон!
После первой части майских праздников наш канал решил закончить с...
Тайм-коды и полезные ссылки:
► 0:00 Разность квадратов
► 0:24 Пример 1
► 0:46 Пример 2
► 1:23 Пример 3
► 1:39 Пример 4
► 2:28 Пример 5 (умножение чисел)...
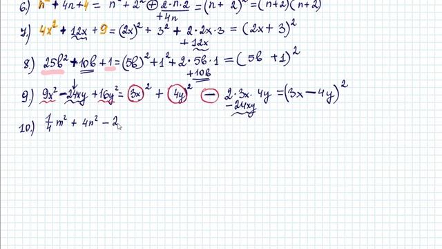
В сегодняшнем уроке от Пчела Школа | дистанционное обучение по Математике мы разбираем:
- Формулы сокращённого умножения (квадрат суммы и квадрат разно...
Лидер-самая востребованная #профессия 21 века.
15 - Ваш гостевoй код в разделе УЗНАТЬ ПОДРОБНЕЕ на сайте https://vk.com/away.php?to=http%3A%2F%2Flgp777....
Дорогие друзья! Если информация в видео была для вас полезной, вы можете отблагодарить меня. Номер моей карты в Сбербанк: 2202208073364607
Ссылка на @И...
Всем привет.В этом видео я подробно расскажу как рассчитать нужный размер квадратиков для нужного размера следков.
Подробное видео как вязать следки и...
В этой серии хочу рассказать вам, как же правильно посчитать площадь стен и как правильно посчитать объем краски на вашу площадь.
Поверьте, все гораздо...
В сегодняшнем уроке от Пчела Школа | дистанционное обучение по Математике мы разбираем:
- Формулы сокращённого умножения (квадрат суммы и квадрат разно...
Квадрат чисел с помощью соседей.
Ссылка на отличное приложение для тренировки математических действий:
https://play.google.com/store/apps/details?id=ex...
В видео показываю как выделить полный квадрат на примерах.
Без озвучки!
Убедительная просьба, если вам все равно не понятно, как это делается (выделяе...
https://happy-buy.ru/E7DyBe.php - приобрести на али
(Соединитель для лестницы, складной шарнир, легкие детали для ступенек, сверхпрочные лестницы, крепл...
Материалы для общестроя, и кирпич в Петровиче - https://goo.gl/jp1DnF
Как рассчитать кирпич!
Расчет кирпича на дом - дело ответственное! Любые материалы...
📦 Услуги по поиску, закупке и доставке товаров из Китая от B2B-China:
Сайт: https://b2bchina.info
Telegram: https://t.me/b2b_china
Телефон: 8 (800) 350-...
В сегодняшнем уроке от Пчела Школа | дистанционное обучение по Математике мы разбираем:
- Формулы сокращённого умножения (квадрат суммы и квадрат разно...
В этом видео я показываю 5 разных способов соединения (сшивания) квадратных мотивов. 2 способа с помощью иглы и три способа с помощью крючка.
Подписыва...
Формулы длины окружности, площади круга и объема шара.
Видео-объяснение из компьютерной игры:
Mathica (Математикус)
Ruske & Pühretmaier / Heureka-Klett,...
В этом видео я показываю как рассчитать квадрат пифагора и даю краткое значение каждой цифры в квадрате.
Приятного просмотра!
По вопросам обучения и ...